Menu Quality Instructions
Page 1

Page 2

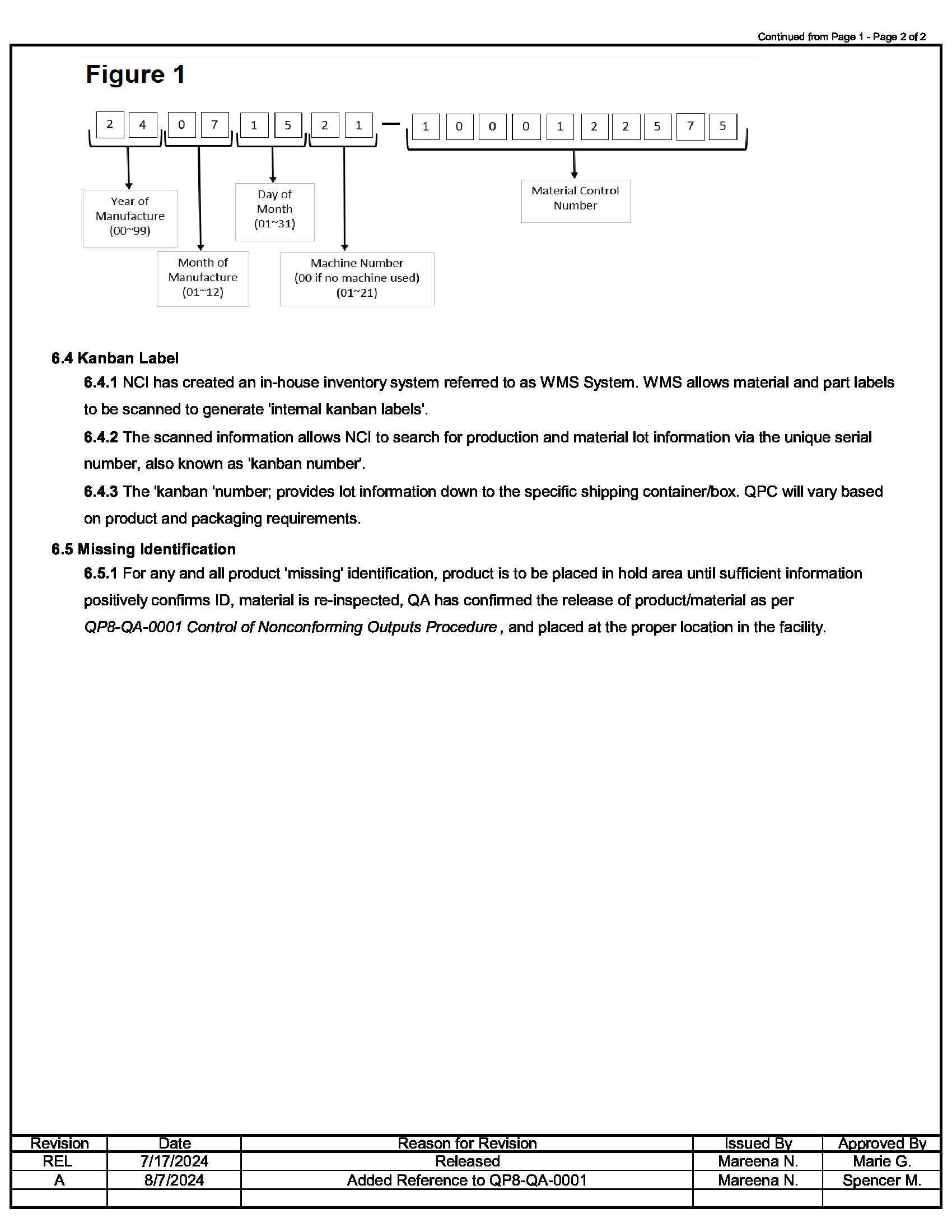
/docs/files/7MFG-0003_Identification & Traceability - REV. A(1728417411)[0].jpg /docs/files/7MFG-0003_Identification & Traceability - REV. A(1728417411)[1].jpg